制药用水电导率如何测定准确?
(中国药典2020年版制药用水电导率测定法)
本法是用于检查制药用水的电导率进而控制水中电解质总量的一种测定方法。
电导率是表征物体导电能力的物理量,其值为物体电阻率的倒数,单位是S/cm(Siemens)或μS/cm。
纯水中的水分子也会发生某种程度的电离而产生氢离子与氢氧根离子,所以纯水的导电能力尽管很弱,但也具有可测定的电导率。水的电导率与水的纯度密切相关,水的纯度越高,电导率越小,反之亦然。当空气中的二氧化碳等气体溶于水并与水相互作用后,便可形成相应的离子,从而使水的电导率增高。水中含有其他杂质离子时,也会使水的电导率增高。另外,水的电导率还与水的pH值与温度有关。
仪器和操作参数
测定水的电导率必须使用精密的并经校正的电导率仪 ,电导率仪 的电导池包括两个平行电极,这两个电极通常由玻璃管保护,也可以使用其他形式的电导池。根据仪器设计功能和使用程度,应对 电导率仪 定期进行校正,电导池常数可使用电导标准溶液直接校正,或间接进行仪器比对,电导池常数必须在仪器规定数值的±2%范围内。进行仪器校正时, 电导率仪 的每个量程都需要进行单独校正。仪器最小分辨率应达到0.1μS/cm,仪器精度应达到±0.1μS/cm。
温度对样品的电导率测定值有较大影响,电导率仪 可根据测定样品的温度自动补偿测定值并显示补偿后读数。水的电导率采用温度修正的计算方法所得数值误差较大,因此本法采用非温度补偿模式,温度测量的精确度应在±2℃以内。
提示:可选用成都世纪方舟有限公司 研发生产的DDS-302+纯水电导率仪 ,该仪器把纯化水或注射用水的温度和电导率的限度内置在仪器里,仪器显示的测量数据就是纯化水或注射用水的实际电导率值(无需再用公式换算),若测定的电导率值大于限度值,仪器会自动报警,则判为不符合规定,使用过程不但简单方便节省工作量,测量数据也非常精准。

测定法
1.纯化水
可使用在线或离线电导率仪,记录测定温度。在表1中,测定温度对应的电导率值即为限度值。如测定温度未在表1中列出,则应采用线性内插法计算得到限度值。如测定的电导率值不大于限度值,则判为符合规定;如测定的电导率值大于限度值,则判为不符合规定。
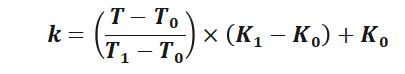
内插法的计算公式为:
式中 k为测定温度下的电导率限度值;
k1为表1中高于测定温度的最接近温度对应的电导率限度值;
k0为表1中低于测定温度的最接近温度对应的电导率限度值;
T为测定温度;
T1为表1中高于测定温度的最接近温度;
T0为表1中低于测定温度的最接近温度。
2.注射用水
(1)可使用在线或离线电导率仪。在表2中,不大于测定温度的最接近温度值,对应的电导率值即为限度值。如测定的电导率值不大于限度值,则判为符合规定;如测定的电导率值大于限度值,则继续按(2)进行下一步测定。
(2)取足够量的水样(不少于100ml),置适当容器中,搅拌,调节温度至25℃,剧烈搅拌,每隔5分钟测定电导率,当电导率值的变化小于0.1μS/cm时,记录电导率值。如测定的电导率不大于2.1μS/cm,则判为符合规定;如测定的电导率大于2.1μS/cm,继续按(3)进行下一步测定。
(3)应在上一步测定后5分钟内进行,调节温度至25℃,在同一水样中加入饱和氯化钾溶液(每100ml水样中加入0.3ml),测定pH值,精确至0.1pH单位,在表3中找到对应的电导率限度,并与(2)中测得的电导率值比较。如(2)中测得的电导率值不大于该限度值,则判为符合规定;如(2)中测得的电导率值超出该限度值或pH值不在5.0~7.0范围内,则判为不符合规定。
1.灭菌注射用水
调节温度至25℃,使用离线电导率仪进行测定。标示装量为10ml或10ml以下时,电导率限度为25μS/cm;标示装量为10ml以上时,电导率限度为5μS/cm。测定的电导率值不大于限度值,则判为符合规定;如测定的电导率值大于限度值,则判为不符合规定。
提示:电导标准溶液可选择氯化钾标准溶液C(KCl):84μS/cm和10μS/cm
【世纪方舟产品,9成老客户,用10年没问题】
更多溶液测量方案请致电咨询
【有现货,当天可发货】
成都世纪方舟科技有限公司
经过二十几年的深耕细作,通过了ISO9001质量管理体系认证,并成为四川省环境与食品安全协会的理事单位,中国仪器仪表行业协会代理商分会理事单位,公司专注于 酸度计、电导率仪
、离子计、水质分析仪、水分仪、耗材和试剂备件等产品研发生产。